Упражнение 522 ГДЗ Макарычев Миндюк 9 класс (Алгебра)
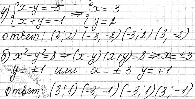
522. Найдите целые решения уравнения: а) х1 - у2 = 5; б) х2 - у2 = 8.



Ниже вариант решения задания из учебника Макарычев, Миндюк, Нешков 9 класс, Просвещение:
522. Найдите целые решения уравнения: а) х1 - у2 = 5; б) х2 - у2 = 8.
