Упражнение 528 ГДЗ Макарычев Миндюк 9 класс (Алгебра)
528. Найдите все решения системы уравнений: а) система x-y=4, (x-1)(y+1)=2xy+3; б) система y-x=1, (2y+1)(x-1)=xy+1; в) система 2x-y=5, (x+1)(y+4)=2xy-1; г) система x+y=1, (x-1)(y+5)=y2-12.





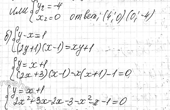
Ниже вариант решения задания из учебника Макарычев, Миндюк, Нешков 9 класс, Просвещение:
528. Найдите все решения системы уравнений:
а) система
x-y=4,
(x-1)(y+1)=2xy+3;
б) система
y-x=1,
(2y+1)(x-1)=xy+1;
в) система
2x-y=5,
(x+1)(y+4)=2xy-1;
г) система
x+y=1,
(x-1)(y+5)=y2-12.
