Упражнение 563 ГДЗ Макарычев Миндюк 9 класс (Алгебра)
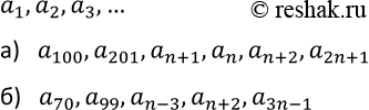
563. Какой член последовательности a1, а2, а3, ... : а) следует за членом а99, а200, аn, аn-1, аn + 1, а2n;


Ниже вариант решения задания из учебника Макарычев, Миндюк, Нешков 9 класс, Просвещение:
563. Какой член последовательности a1, а2, а3, ... :
а) следует за членом а99, а200, аn, аn-1, аn + 1, а2n;
б) предшествует члену а71, а100, аn-2, аn + 3, а3n?
