Упражнение 91 ГДЗ Макарычев Миндюк 9 класс (Алгебра)
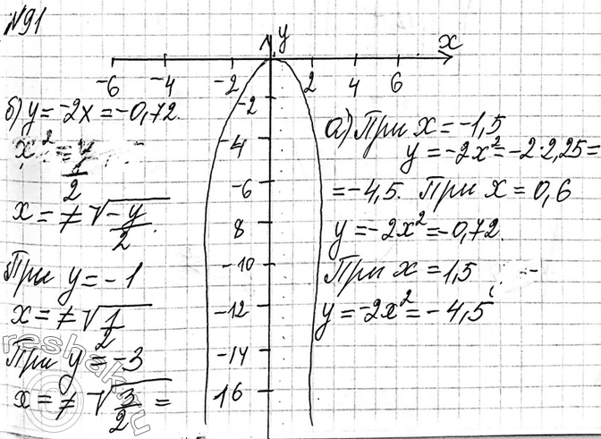
91 Постройте график функции у = -2х2 и найдите: а) значение у при х = -1,5; 0,6; 1,5; б) значения х, при которых у = — 1;



Ниже вариант решения задания из учебника Макарычев, Миндюк, Нешков 9 класс, Просвещение:
91 Постройте график функции у = -2х2 и найдите:
а) значение у при х = -1,5; 0,6; 1,5;
б) значения х, при которых у = — 1; -3; -4,5;
в) промежуток возрастания и промежуток убывания функции.
