Упражнение 124 ГДЗ Макарычев Миндюк 9 класс (Углубленный) (Алгебра)
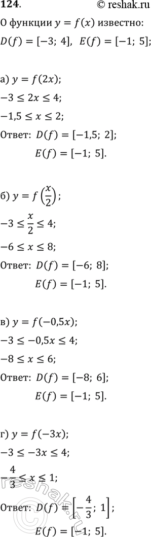
124. Функция y=f(x) имеет область определения D(f)=[-3; 4] и область значений E(f)=[-1; 5]. Найдите область определения и область значений функции: а) y=f(2x);
![Решение задачи: 124. Функция y=f(x) имеет область определения D(f)=[-3; 4] и область значений E(f)=[-1; 5]. Найдите область определения и область значений функции: а) y=f(2x);](solutions/algebra/9/32/1-124.png)
Ниже вариант решения задания из учебника Макарычев, Миндюк, Нешков 9 класс, Просвещение:
124. Функция y=f(x) имеет область определения D(f)=[-3; 4] и область значений E(f)=[-1; 5]. Найдите область определения и область значений функции:
а) y=f(2x); б) y=f(x/2); в) y=f(-0,5x); г) y=f(-3x).
