Упражнение 192 ГДЗ Макарычев Миндюк 9 класс (Углубленный) (Алгебра)
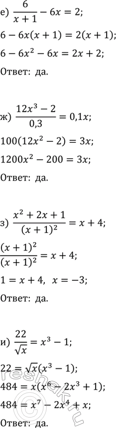
192. Является ли данное уравнение целым уравнением: а) (x^3-6x)/8-x^5/3=1; г) 1,07x^2-(1/3)x=0,1; ж) (12x^3-2)/0,3=0,1x; б) v(x-1)=19; д) (1/3)x^3=v2x; з) (x^2+2x+1)/(x+1)^2=x+4; в) (x^2-1)/(x-1)-18x=4;


Ниже вариант решения задания из учебника Макарычев, Миндюк, Нешков 9 класс, Просвещение:
192. Является ли данное уравнение целым уравнением:
а) (x^3-6x)/8-x^5/3=1; г) 1,07x^2-(1/3)x=0,1; ж) (12x^3-2)/0,3=0,1x;
б) v(x-1)=19; д) (1/3)x^3=v2x; з) (x^2+2x+1)/(x+1)^2=x+4;
в) (x^2-1)/(x-1)-18x=4; е) 6/(x+1)-6x=2; и) 22/vx=x^3-1?
