Упражнение 245 ГДЗ Мерзляк 9 класс (Алгебра)
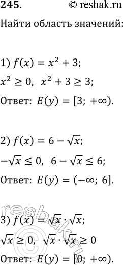
245. Найдите область значений функции: 1) f(x) = х^2 + 3; 2) f(х) = 6 - корень(х); 3) f(х) = корень(х) * корень(х).



Ниже вариант решения задания из учебника Мерзляк, Полонская, Якир 9 класс, Вентана-Граф:
245. Найдите область значений функции:
1) f(x) = х^2 + 3;
2) f(х) = 6 - корень(х);
3) f(х) = корень(х) * корень(х).
