Упражнение 327 ГДЗ Мерзляк 9 класс (Алгебра)
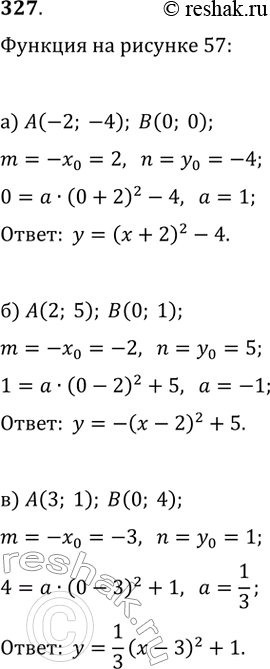
327. Задайте формулой вида у = а(х + m)^2 + n функцию, график которой изображён на рисунке 57.



Ниже вариант решения задания из учебника Мерзляк, Полонская, Якир 9 класс, Вентана-Граф:
327. Задайте формулой вида у = а(х + m)^2 + n функцию, график которой изображён на рисунке 57.
