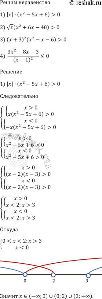
Упражнение 432 ГДЗ Мерзляк 9 класс (Алгебра)
432. Решите неравенство: 1) |х| * (х^2 - 5х + 6) > 0; 2) корень(х)(х^2 + 6х - 40) > 0;



Ниже вариант решения задания из учебника Мерзляк, Полонская, Якир 9 класс, Вентана-Граф:
432. Решите неравенство:
1) |х| * (х^2 - 5х + 6) > 0;
2) корень(х)(х^2 + 6х - 40) > 0;
3) (х + 3)^2 (х^2 - х - 6) > 0;
4) (Зх^2 - 8х - 3)/(x - 1)^2
