Задание 11 Параграф 5 ГДЗ Рабочая тетрадь 1 Мерзляк Полонский 9 класс (Алгебра)
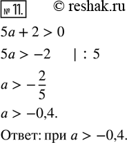
11. При каких значениях а выражение 5а + 2 принимает положительные значения?

Ниже вариант решения задания из учебника Мерзляк, Полонская, Якир 9 класс, Вентана-Граф:
11. При каких значениях а выражение 5а + 2 принимает положительные значения?
