Упражнение 142 ГДЗ Колягин Ткачёва 9 класс (Алгебра)
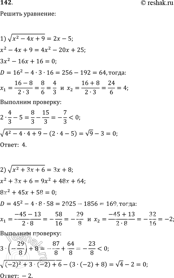
142. Решить уравнение: 1) v(x^2-4x+9)=2x-5; 2) v(x^2+3x+6)=3x+8; 3) 2x=1+v(x^2+5); 4) x+v(13-4x)=4.


Ниже вариант решения задания из учебника Колягин, Ткачёва, Фёдорова 9 класс, Просвещение:
142. Решить уравнение:
1) v(x^2-4x+9)=2x-5; 2) v(x^2+3x+6)=3x+8;
3) 2x=1+v(x^2+5); 4) x+v(13-4x)=4.
