Упражнение 153 ГДЗ Колягин Ткачёва 9 класс (Алгебра)
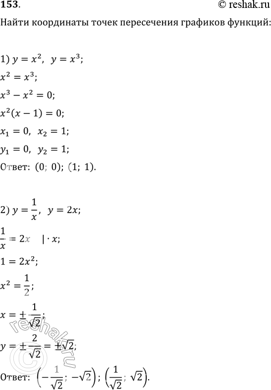
153. Найти координаты точек пересечения графиков функций: 1) y=x^2, y=x^3; 2) y=1/x, y=2x; 3) y=vx, y=|x|; 4) y=x^(1/3), y=1/x.


Ниже вариант решения задания из учебника Колягин, Ткачёва, Фёдорова 9 класс, Просвещение:
153. Найти координаты точек пересечения графиков функций:
1) y=x^2, y=x^3; 2) y=1/x, y=2x;
3) y=vx, y=|x|; 4) y=x^(1/3), y=1/x.
