Упражнение 168 ГДЗ Колягин Ткачёва 9 класс (Алгебра)
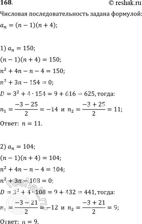
168. Числовая последовательность задана формулой n-го члена a_n=(n-1)(n+4). Найти n, если: 1) a_n=150; 2) a_n=104.

Ниже вариант решения задания из учебника Колягин, Ткачёва, Фёдорова 9 класс, Просвещение:
168. Числовая последовательность задана формулой n-го члена a_n=(n-1)(n+4). Найти n, если: 1) a_n=150; 2) a_n=104.
