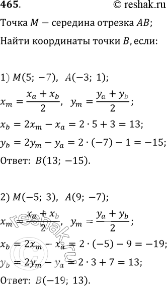
Упражнение 465 ГДЗ Колягин Ткачёва 9 класс (Алгебра)
465. Точка М — середина отрезка АВ. Найти координаты точки В, если: 1) М(5; -7), А(-3; 1); 2) М(-5; 3), А(9;

Ниже вариант решения задания из учебника Колягин, Ткачёва, Фёдорова 9 класс, Просвещение:
465. Точка М — середина отрезка АВ. Найти координаты точки В, если:
1) М(5; -7), А(-3; 1); 2) М(-5; 3), А(9; -7).
