Упражнение 15.26 ГДЗ Мордкович 9 класс (Алгебра)
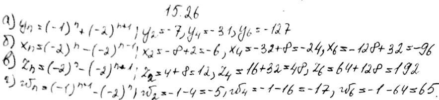
15.26. Последовательность задана формулой n-го члена. Вычислите ее первые три члена с четными номерами: а) yn=(-1)n+(-2)n+1; б) xn=(-2)n+1 - (-2)n-1; в) zn=(-2)n - (-2)n+1;


Ниже вариант решения задания из учебника Мордкович 9 класс, Мнемозина:
15.26. Последовательность задана формулой n-го члена. Вычислите ее первые три члена с четными номерами:
а) yn=(-1)n+(-2)n+1;
б) xn=(-2)n+1 - (-2)n-1;
в) zn=(-2)n - (-2)n+1;
г) wn=(-1)n+1 - (-2)n.
