Упражнение 2.3 ГДЗ Мордкович 9 класс (Алгебра)
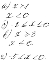
2.3. а) х2 - х > 0; б) 2х + х2 в) х2 - 3х >= 0; г) 5х +


Ниже вариант решения задания из учебника Мордкович 9 класс, Мнемозина:
2.3. а) х2 - х > 0;
б) 2х + х2
в) х2 - 3х >= 0;
г) 5х + х2


Ниже вариант решения задания из учебника Мордкович 9 класс, Мнемозина:
2.3. а) х2 - х > 0;
б) 2х + х2
в) х2 - 3х >= 0;
г) 5х + х2