Упражнение 4.31 ГДЗ Мордкович 9 класс (Алгебра)
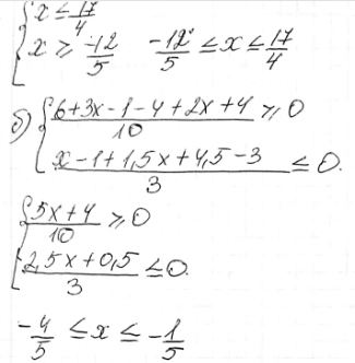
4.31. Найдите середину промежутка, служащего решением системы неравенств:




Ниже вариант решения задания из учебника Мордкович 9 класс, Мнемозина:
4.31. Найдите середину промежутка, служащего решением системы неравенств:
