Упражнение 5.26 ГДЗ Мордкович 9 класс (Алгебра)
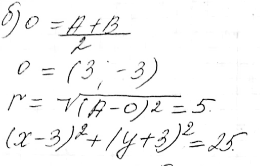
5.26. Составьте уравнение окружности, диаметром которой является отрезок АВ, если: а) А(-4; 7), В(6; -3); б) А(-1; -6), В(7; 0).



Ниже вариант решения задания из учебника Мордкович 9 класс, Мнемозина:
5.26. Составьте уравнение окружности, диаметром которой является отрезок АВ, если:
а) А(-4; 7), В(6; -3); б) А(-1; -6), В(7; 0).
