Упражнение 6.2 ГДЗ Мордкович 9 класс (Алгебра)
6.2 а) система xy=-2, x+y=1; б) система 5x2+2y=-3, x-y=5; в) система x+3y=11, 2x+y2=14; г) система x+y=8, xy=12.




Ниже вариант решения задания из учебника Мордкович 9 класс, Мнемозина:
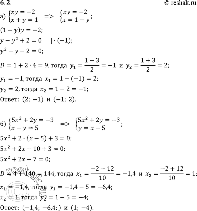
6.2 а) система
xy=-2,
x+y=1;
б) система
5x2+2y=-3,
x-y=5;
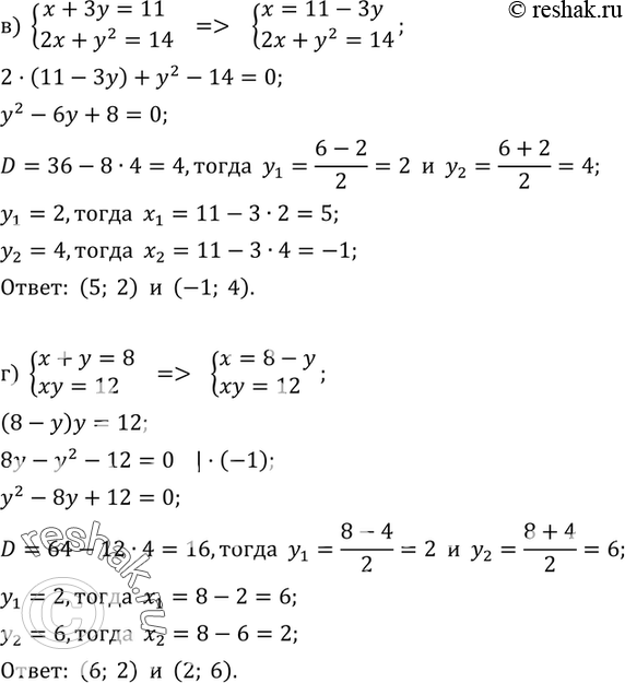
в) система
x+3y=11,
2x+y2=14;
г) система
x+y=8,
xy=12.
