Упражнение 137 ГДЗ Никольский Потапов 9 класс (Алгебра)
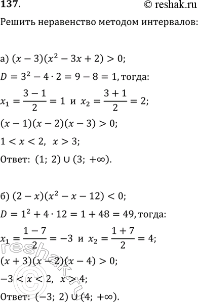
137. а) (x-3)(x^2-3x+2)>0 б) (2-x)(x^2-x-12)в) (x^2-3x-4)(x^2+x-12)г) (x^2-5x-6)(x^2+2x-15)>0





Ниже вариант решения задания из учебника Никольский, Потапов 9 класс, Просвещение:
137.
а) (x-3)(x^2-3x+2)>0
б) (2-x)(x^2-x-12)
в) (x^2-3x-4)(x^2+x-12)
г) (x^2-5x-6)(x^2+2x-15)>0
