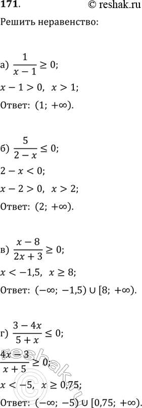
Упражнение 171 ГДЗ Никольский Потапов 9 класс (Алгебра)
171. а) 1/(x-1)>=0 б) 5/(2-x)в) (x-8)/(2x+3)>=0 г) (3-4x)/(5+x)


Ниже вариант решения задания из учебника Никольский, Потапов 9 класс, Просвещение:
171.
а) 1/(x-1)>=0
б) 5/(2-x)
в) (x-8)/(2x+3)>=0
г) (3-4x)/(5+x)
