Упражнение 334 ГДЗ Никольский Потапов 9 класс (Алгебра)
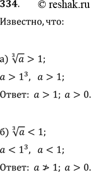
334. Известно, что: а) корень третьей степени из а >1; б) корень третьей степени из а Верно ли, что а больше единицы?


Ниже вариант решения задания из учебника Никольский, Потапов 9 класс, Просвещение:
334. Известно, что:
а) корень третьей степени из а >1; б) корень третьей степени из а
Верно ли, что а больше единицы? больше нуля?
