Упражнение 35 ГДЗ Никольский Потапов 9 класс (Алгебра)
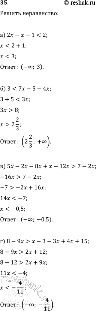
35. а) 2х - х - 1 7 - 2х; г) 8 - 9х > х - 3 - Зх + 4х + 15.


Ниже вариант решения задания из учебника Никольский, Потапов 9 класс, Просвещение:
35. а) 2х - х - 1 7 - 2х; г) 8 - 9х > х - 3 - Зх + 4х + 15.
