Упражнение 599 ГДЗ Никольский Потапов 9 класс (Алгебра)
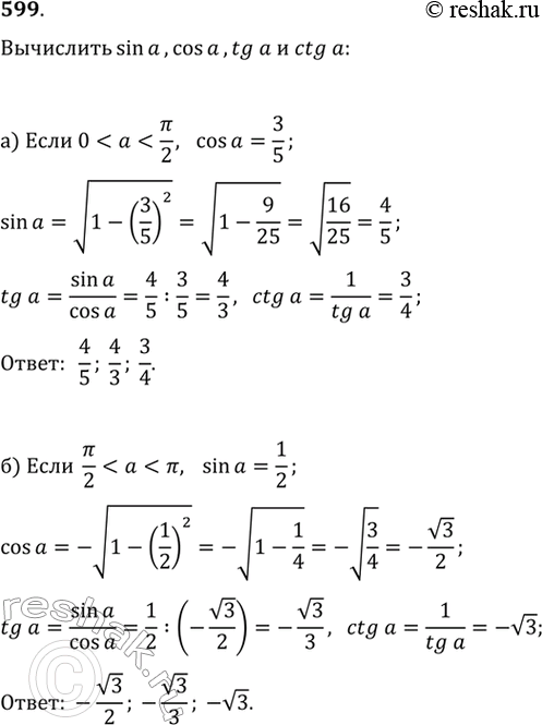
599. Вычислите: а) sin а,tg а,ctg а,если 0б) cosа,tgа,ctgа,если пи/2в) sinа,tgа,ctgа,если пиг) cosа,tgа,ctgа,если 3пи/2д) sinа,cosа,ctgа,если 0е) cosа,sinа,tgа,если пи/2ж) sinа,еслиtgа=-5/12 и







Ниже вариант решения задания из учебника Никольский, Потапов 9 класс, Просвещение:
599. Вычислите:
а) sin а,tg а,ctg а,если 0
б) cosа,tgа,ctgа,если пи/2
в) sinа,tgа,ctgа,если пи
г) cosа,tgа,ctgа,если 3пи/2
д) sinа,cosа,ctgа,если 0
е) cosа,sinа,tgа,если пи/2
ж) sinа,еслиtgа=-5/12 и -пи/2
з) cosа,еслиctgа=1 и пи
