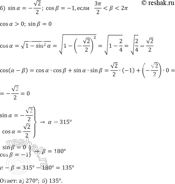
Упражнение 623 ГДЗ Никольский Потапов 9 класс (Алгебра)
623. а) Найдите cos (а +b), если cos а = 1/2, sin b = -1/2, О pi б) Найдите cos (а - b), если sin а = —v2/2, cos b = -1, 3pi/2Найдите наименьшее по абсолютной величине значение (а - b).



Ниже вариант решения задания из учебника Никольский, Потапов 9 класс, Просвещение:
623. а) Найдите cos (а +b), если cos а = 1/2, sin b = -1/2, О
pi
б) Найдите cos (а - b), если sin а = —v2/2, cos b = -1, 3pi/2
Найдите наименьшее по абсолютной величине значение (а - b).
