Упражнение 107 ГДЗ Дорофеев Суворова 9 класс (Алгебра)
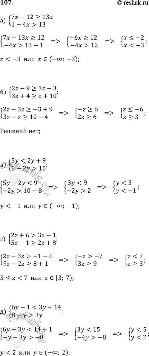
107. Решите систему неравенств (106—108). а) Система 7x-12?13x и 1-4x>13; б) Система 2z-9?3z-3 и 3z+4?z+10; в) Система 5y10; г) Система 2z+6>3z-1 и 5z-1?2z+8;


Ниже вариант решения задания из учебника Дорофеев, Суворова, Бунимович 9 класс, Просвещение:
107. Решите систему неравенств (106—108).
а) Система 7x-12?13x и 1-4x>13;
б) Система 2z-9?3z-3 и 3z+4?z+10;
в) Система 5y10;
г) Система 2z+6>3z-1 и 5z-1?2z+8;
д) Система 6y-13y;
е) Система 6-4x?4-3x и 7-3x?6-4x;
ж) Система 3z+2?7+4z и 4z-1
з) Система 2y+8?y+4 и 2y+8?y-1;
