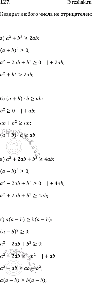
Упражнение 127 ГДЗ Дорофеев Суворова 9 класс (Алгебра)
127. Докажите, что для любых чисел а и b: а) a^2 + b^2 ? 2ab; б) (a + b) · b ?


Ниже вариант решения задания из учебника Дорофеев, Суворова, Бунимович 9 класс, Просвещение:
127. Докажите, что для любых чисел а и b:
а) a^2 + b^2 ? 2ab;
б) (a + b) · b ? ab;
в) a^2 + 2ab + b^2 ? 4ab;
г) a · (a - b) ? b · (a - b);
д) (a^2 + 1) / 2 ? a;
е) a / (a^2 + 1) ? 1/2.
