Упражнение 447 ГДЗ Дорофеев Суворова 9 класс (Алгебра)
447. а) x^2 + y^2 = 5 и x - y = 1; б) 2x - y = 9 и x^2 - y^2 = 15;



Ниже вариант решения задания из учебника Дорофеев, Суворова, Бунимович 9 класс, Просвещение:
447.
а) x^2 + y^2 = 5 и x - y = 1;
б) 2x - y = 9 и x^2 - y^2 = 15;
в) x^2 + y^2 = 101 и x + y = 11;
г) x^2 - xy = 10 и 3x + y = 3;
д) x - y = 1 и x^2 + 2xy = 40;
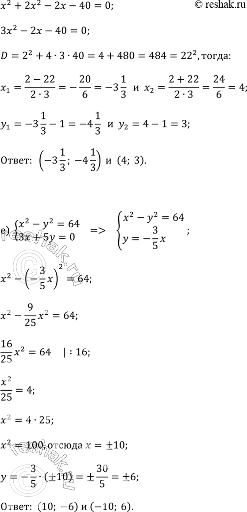
е) x^2 - y^2 = 64 и 3x + 5y = 0.
