Упражнение 8.6 ГДЗ Мерзляк 10 класс Базовый уровень (Алгебра)
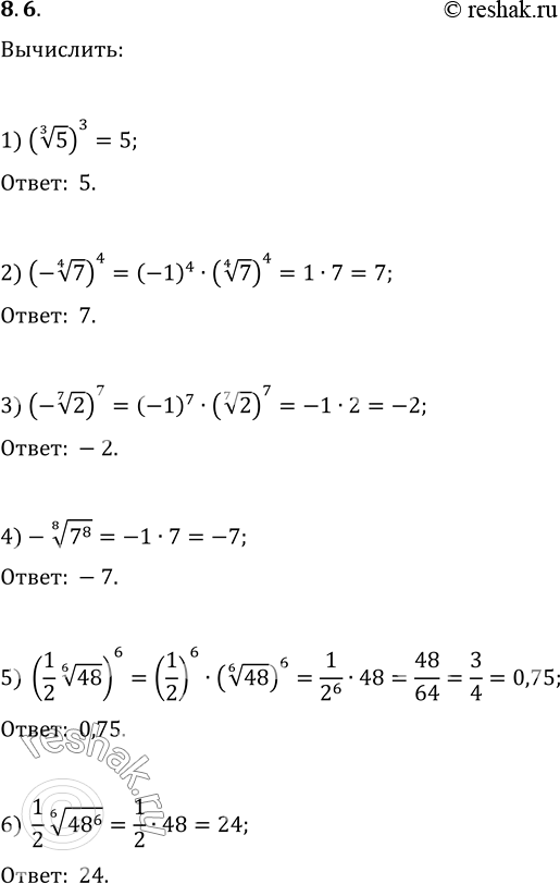
8.6. Вычислите: 1) (5^(1/3))^3; 3) (-2^(1/7))^7; 5) ((1/2)48^(1/6))^6; 2) (-7^(1/4))^4; 4) -(7^8)^(1/8); 6) (1/2)(48^6)^(1/6).

Ниже вариант решения задания из учебника Мерзляк, Номировский, Полонский 10 класс, Вентана-Граф:
8.6. Вычислите:
1) (5^(1/3))^3; 3) (-2^(1/7))^7; 5) ((1/2)48^(1/6))^6;
2) (-7^(1/4))^4; 4) -(7^8)^(1/8); 6) (1/2)(48^6)^(1/6).
