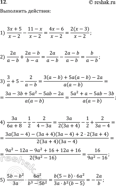
Упражнение 12 ГДЗ Колягин Ткачёва 10 класс (Алгебра)
Выполнить действия: 1) (3x+5)/(x-2) - (11-x)/(x-2); 2) 2a/(a-b) + (2a-b)/(b-a); 3) 3/a + 5 - 2/(a-b); 4) 3a/(6a+8) -1/2 - 2/(4-3a);




Ниже вариант решения задания из учебника Колягин, Ткачёва, Фёдорова 10 класс, Просвещение:
Выполнить действия:
1) (3x+5)/(x-2) - (11-x)/(x-2);
2) 2a/(a-b) + (2a-b)/(b-a);
3) 3/a + 5 - 2/(a-b);
4) 3a/(6a+8) -1/2 - 2/(4-3a);
5) (5b-b2)/3a * 6a2/(b3-5b2);
6) 6c3/(9-a2) * (a3-6a+9)/4a2c;
7) a3b/(3a-6b) : (a2b2-a2b)/(ac-2bc);
8) (10-15b)/(a-b)2 : (9b2-4)/(3b-3a);
9) (a/(7a-4) - 1/(a+3)) * (12-21a)/(2-a)2;
10) (x/x-2 - x/x+2 - (x2+4)/(4-x2):(2x+x2)/(2-x2)2.
