Упражнение 145 ГДЗ Колягин Ткачёва 10 класс (Алгебра)
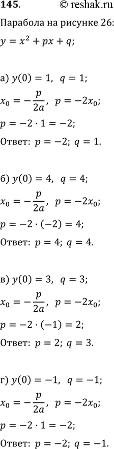
145. Найти значения р и q квадратичной функции у= х2 +рх + у, используя её график: 1) на рисунке 26, a;



Ниже вариант решения задания из учебника Колягин, Ткачёва, Фёдорова 10 класс, Просвещение:
145. Найти значения р и q квадратичной функции у= х2 +рх + у, используя её график: 1) на рисунке 26, a; 2) на рисунке 26, б; 3) на рисунке 26, в; 4) на рисунке 26, г.
