Упражнение 154 ГДЗ Колягин Ткачёва 10 класс (Алгебра)
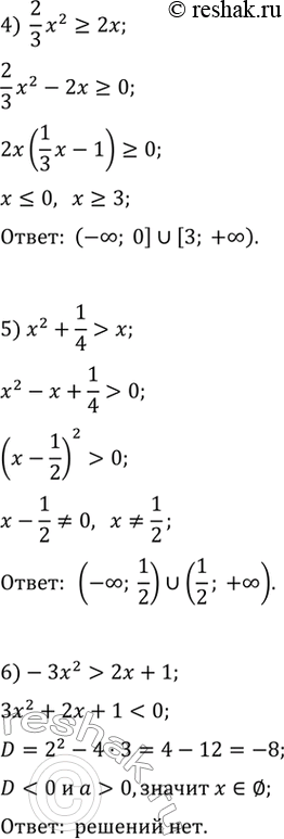
154. 1) С…2 >= 25; 2)С…24) 2/3С…2>=2С…; 5) С…2+1/4>С…; 6) -Р—С…2 > 2С… + 1.




Ниже вариант решения задания из учебника Колягин, Ткачёва, Фёдорова 10 класс, Просвещение:
154. 1) С…2 >= 25; 2)С…2
4) 2/3С…2>=2С…; 5) С…2+1/4>С…; 6) -Р—С…2 > 2С… + 1.
