Упражнение 181 ГДЗ Колягин Ткачёва 10 класс (Алгебра)
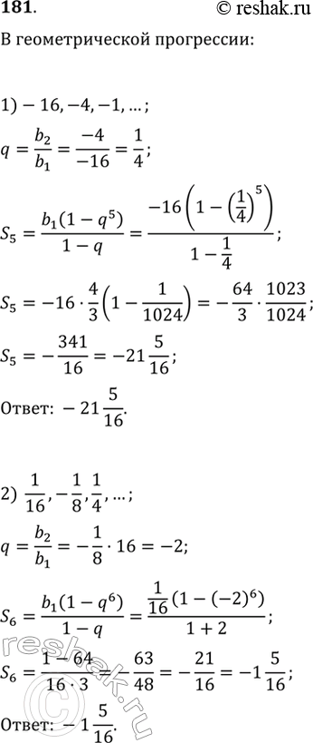
181. Найти сумму n первых членов геометрической прогрессии: 1) -16, -4, -1, ..., если n = 5; 2) 1/16, 1/8, 1/4, ..., если n = 6.


Ниже вариант решения задания из учебника Колягин, Ткачёва, Фёдорова 10 класс, Просвещение:
181. Найти сумму n первых членов геометрической прогрессии:
1) -16, -4, -1, ..., если n = 5;
2) 1/16, 1/8, 1/4, ..., если n = 6.
