Упражнение 484 ГДЗ Колягин Ткачёва 10 класс (Алгебра)
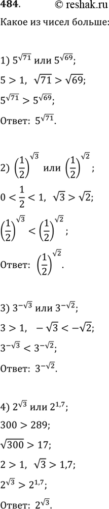
484. Выяснить, какое из чисел больше: 1) 5^корень 71 или 5^корень 69; 2) (1/2)корень 3 или (1/2)корень 2; 3) 3^-корень 3 или 3^-корень 2;


Ниже вариант решения задания из учебника Колягин, Ткачёва, Фёдорова 10 класс, Просвещение:
484. Выяснить, какое из чисел больше:
1) 5^корень 71 или 5^корень 69;
2) (1/2)корень 3 или (1/2)корень 2;
3) 3^-корень 3 или 3^-корень 2;
4) 2^корень 3 или 2^1,7.
