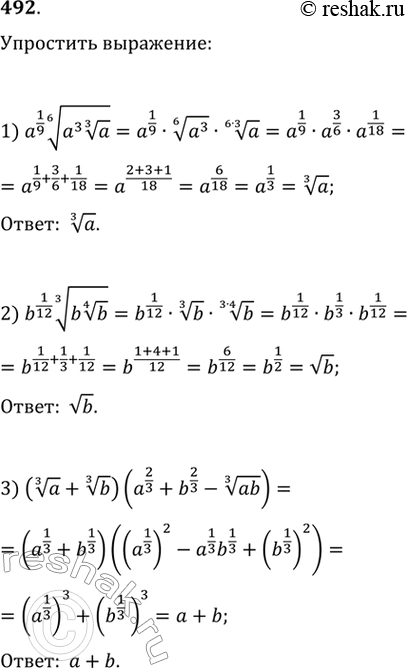
Упражнение 492 ГДЗ Колягин Ткачёва 10 класс (Алгебра)
Упростить выражение (492—493). 492. 1) a1/9 корень 6 степени a корень 3 степени a; 2) b1/12 корень 3 степени b корень 4 степени b;


Ниже вариант решения задания из учебника Колягин, Ткачёва, Фёдорова 10 класс, Просвещение:
Упростить выражение (492—493).
492. 1) a1/9 корень 6 степени a корень 3 степени a;
2) b1/12 корень 3 степени b корень 4 степени b;
3) (корень 3 степени a + корень 3 степени b)(a2/3 + b2/3 - корень 3 степени ab);
