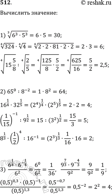
Упражнение 512 ГДЗ Колягин Ткачёва 10 класс (Алгебра)
512. 1) корень 3 степени (6^3 * 5^3), корень 4 степени 324 * корень 4 степени 4, корень 4 степени 15*5/8 :



Ниже вариант решения задания из учебника Колягин, Ткачёва, Фёдорова 10 класс, Просвещение:
512. 1) корень 3 степени (6^3 * 5^3), корень 4 степени 324 * корень 4 степени 4, корень 4 степени 15*5/8 : корень 4 степени 2/5;
2) 65^0 : 8^-2, 16^1/4* 32^1/5, (1/15)^-1 : 9^1/2, 8^1/3 * (1/2)4 : 16^-1;
3)
