Упражнение 627 ГДЗ Колягин Ткачёва 10 класс (Алгебра)
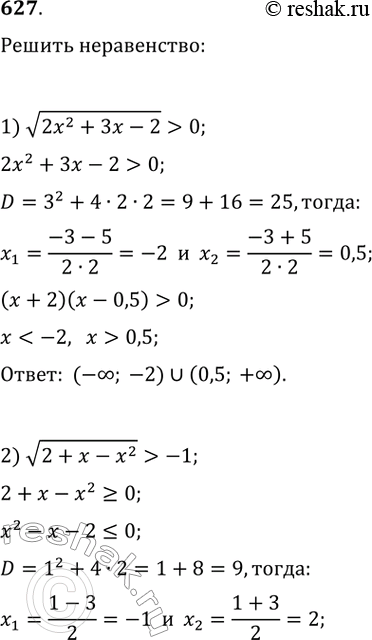
627. 1) v(2x^2+3x-2)>0 2) v(2+x-x^2)>-1 3) v(x^2+2x)>-3-x^2 4) v(4x-x^2)>-2-3x^2




Ниже вариант решения задания из учебника Колягин, Ткачёва, Фёдорова 10 класс, Просвещение:
627.
1) v(2x^2+3x-2)>0
2) v(2+x-x^2)>-1
3) v(x^2+2x)>-3-x^2
4) v(4x-x^2)>-2-3x^2
