Упражнение 665 ГДЗ Колягин Ткачёва 10 класс (Алгебра)
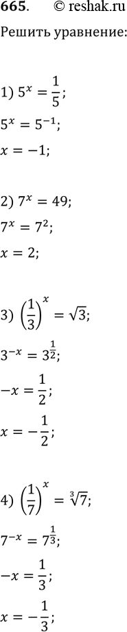
665. (Устно.) Решить уравнение: 1) 5^x=1/5 2) 7^x=49 3) (1/3)^x=v3 4) (1/7)^x=корень третьей степени из


Ниже вариант решения задания из учебника Колягин, Ткачёва, Фёдорова 10 класс, Просвещение:
665. (Устно.) Решить уравнение:
1) 5^x=1/5
2) 7^x=49
3) (1/3)^x=v3
4) (1/7)^x=корень третьей степени из 7
