Упражнение 684 ГДЗ Колягин Ткачёва 10 класс (Алгебра)
684. 1) 9^x-4*3^x+3=0 2) 16^x-17*4^x+16=0 3) 25^x-6*5^x+5=0 4)64^x-8^x-56=0



Ниже вариант решения задания из учебника Колягин, Ткачёва, Фёдорова 10 класс, Просвещение:
684.
1) 9^x-4*3^x+3=0
2) 16^x-17*4^x+16=0
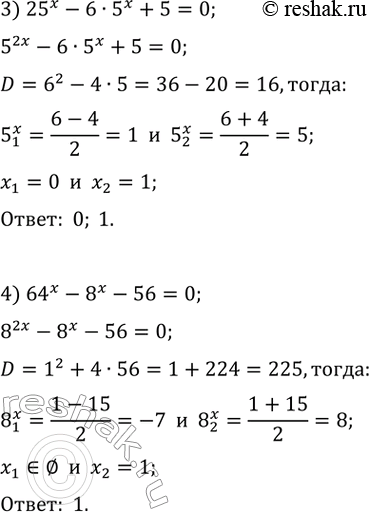
3) 25^x-6*5^x+5=0
4)64^x-8^x-56=0
