Упражнение 12.19 ГДЗ Мордковича 11 класс профильный уровень (Алгебра)
12.19 а)2^3x - 6*2^2x+12*2x-8 = 0;б)(1/2)3x-12*(1/2)2x + 48*(1/2)x-64=0;в)5x+6*(корень 3 степени 25)x+12*(корень 3 степени 5)x+8=343;г)2x+3*(корень 3 степени 4)x + 3*(корень 3 степени 2)x+1=27.





Ниже вариант решения задания из учебника Мордкович, Семенов 11 класс, Мнемозина:
12.19 а)2^3x - 6*2^2x+12*2x-8 = 0;
б)(1/2)3x-12*(1/2)2x + 48*(1/2)x-64=0;
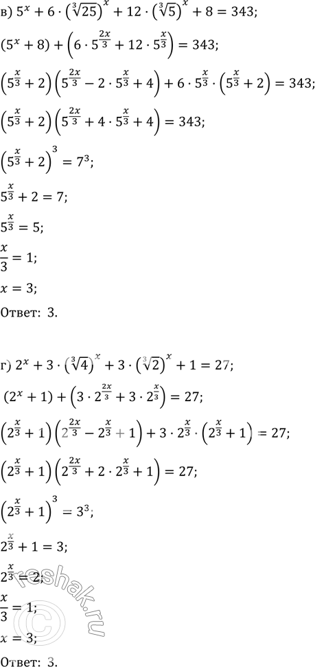
в)5x+6*(корень 3 степени 25)x+12*(корень 3 степени 5)x+8=343;
г)2x+3*(корень 3 степени 4)x + 3*(корень 3 степени 2)x+1=27.
