Упражнение 6.7 ГДЗ Мордковича 11 класс профильный уровень (Алгебра)
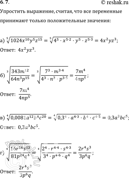
Упростите выражение, считая, что все переменные принимают только положительные значения:6.7а) корень 5 степени 1024x10y5z15;б) корень 3 степени 343m12/64n3p15;в) корень 4 степени 0,0081a12b4c20;г) корень 4 степени 16r16s12/81p24q4.



Ниже вариант решения задания из учебника Мордкович, Семенов 11 класс, Мнемозина:
Упростите выражение, считая, что все переменные принимают только положительные значения:
6.7
а) корень 5 степени 1024x10y5z15;
б) корень 3 степени 343m12/64n3p15;
в) корень 4 степени 0,0081a12b4c20;
г) корень 4 степени 16r16s12/81p24q4.
