Упражнение 24.19 ГДЗ Мордкович 10-11 класс (Алгебра)
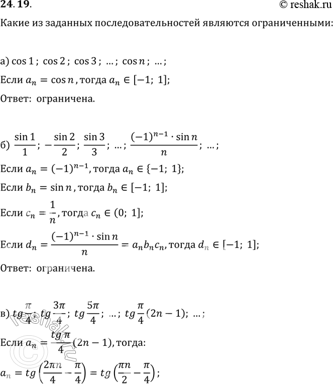
24.19 Какие из заданных последовательностей являются ограниченными? a) cos1, cos2, cos3, ..., cos n, ...; б) sin 1 / 1, - sin 2 / 2, sin 3 / 3, ..., ((-1)^(n - 1) sin n) / n, ...;



Ниже вариант решения задания из учебника Мордкович, Семенов 10 класс, Мнемозина:
24.19 Какие из заданных последовательностей являются ограниченными?
a) cos1, cos2, cos3, ..., cos n, ...;
б) sin 1 / 1, - sin 2 / 2, sin 3 / 3, ..., ((-1)^(n - 1) sin n) / n, ...;
в) tg пи/4, tg 3пи/4, tg 5пи/4, ..., tg пи/4(2n - 1), ...;
г) ctg пи/2, ctg пи/3, ctg пи/4, ..., ctg пи/(n + 1), ....
