Упражнение 25.9 ГДЗ Мордкович 10-11 класс (Алгебра)
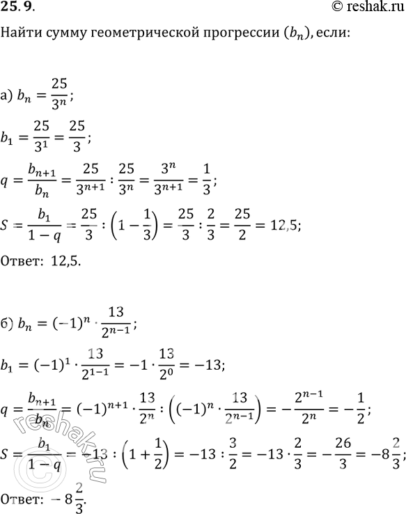
25.9 Найдите сумму геометрической прогрессии (bn), если: а) bn = 25/(3^n); б) bn = (-1)^n * 13/(2^(n - 1)); в) bn = 45/(6^n);




Ниже вариант решения задания из учебника Мордкович, Семенов 10 класс, Мнемозина:
25.9 Найдите сумму геометрической прогрессии (bn), если:
а) bn = 25/(3^n);
б) bn = (-1)^n * 13/(2^(n - 1));
в) bn = 45/(6^n);
г) bn = (-1)^n * 7/(6^(n - 2)).
