Упражнение 7.12 ГДЗ Мордкович 10-11 класс (Алгебра)
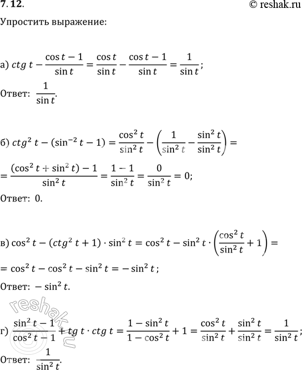
7.12 Упростите выражение: a) ctg t - (cos t - 1) / sin t; 6) ctg^2(t) - (sin^(-2)(t) - 1); в) cos^2(t) - (ctg^2(t) + 1) * sin^2(t);


Ниже вариант решения задания из учебника Мордкович, Семенов 10 класс, Мнемозина:
7.12 Упростите выражение:
a) ctg t - (cos t - 1) / sin t;
6) ctg^2(t) - (sin^(-2)(t) - 1);
в) cos^2(t) - (ctg^2(t) + 1) * sin^2(t);
г) (sin^2(t) - 1) / (cos^2(t) - 1) + tg t *ctg t.
