Упражнение 459 ГДЗ Никольский Потапов 7 класс (Алгебра)
459 а) а(m + n) + (2m + 2n); б) (Зх + 3у) - (ах + ау); в) (mа - mb) + (а - b);

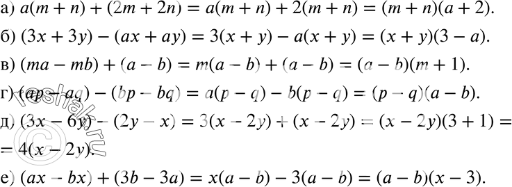
Ниже вариант решения задания из учебника Никольский, Потапов 7 класс, Просвещение:
459 а) а(m + n) + (2m + 2n);
б) (Зх + 3у) - (ах + ау);
в) (mа - mb) + (а - b);
г) (ар - aq) - (bp - bq);
д) (Зx - 6у) - (2у - х);
е) (ах - bx) + (3b - За).
