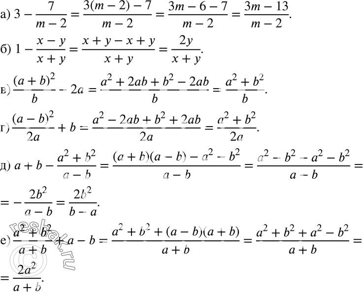
Упражнение 522 ГДЗ Никольский Потапов 7 класс (Алгебра)
522 а) 3-7/(m-2); б) 1-(x-y)/(x+y); в) (a+b)2/b-2a; г) (a-b)2/2a+b; д) a+b-(a2+b2)/(a-b); е) (a2+b2)/(a+b)+a-b.

Ниже вариант решения задания из учебника Никольский, Потапов 7 класс, Просвещение:
522 а) 3-7/(m-2);
б) 1-(x-y)/(x+y);
в) (a+b)2/b-2a;
г) (a-b)2/2a+b;
д) a+b-(a2+b2)/(a-b);
е) (a2+b2)/(a+b)+a-b.
