Упражнение 55 ГДЗ Никольский Потапов 7 класс (Алгебра)
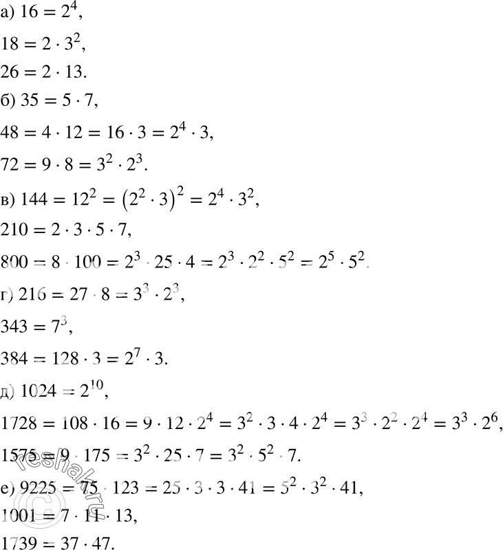
55. Разложите на простые множители числа, т. е. запишите число в виде произведения степеней простых чисел: а) 16, 18, 26; б) 35, 48, 72;

Ниже вариант решения задания из учебника Никольский, Потапов 7 класс, Просвещение:
55. Разложите на простые множители числа, т. е. запишите число в виде произведения степеней простых чисел:
а) 16, 18, 26;
б) 35, 48, 72;
в) 144, 210, 800;
г) 216, 343, 384;
д) 1024, 1728, 1575;
е) 9225, 1001, 1739.
