Упражнение 598 ГДЗ Никольский Потапов 7 класс (Алгебра)
598. Разложите на два множителя хотя бы одним способом: а) 7^10; б) а6; в) (cd)7.

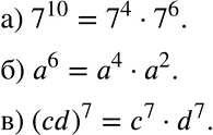
Ниже вариант решения задания из учебника Никольский, Потапов 7 класс, Просвещение:
598. Разложите на два множителя хотя бы одним способом:
а) 7^10;
б) а6;
в) (cd)7.
