Упражнение 11.11 ГДЗ Мордкович Семенов 11 класс (Алгебра)
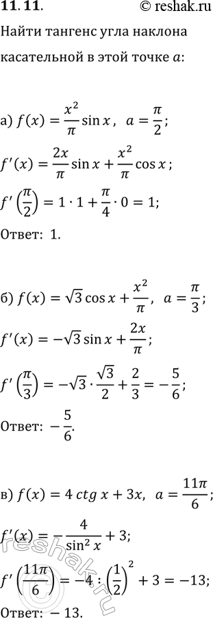
11.11. Найдите тангенс угла между осью Ох и касательной, проведённой к графику функции y=f(x) в точке x=a: а) f(x)=(x^2/?)sin(x), a=?/2; б) f(x)=v3cos(x)+x^2/?, a=?/3;


Ниже вариант решения задания из учебника Мордкович, Семенов, Александрова 11 класс, Просвещение:
11.11. Найдите тангенс угла между осью Ох и касательной, проведённой к графику функции y=f(x) в точке x=a:
а) f(x)=(x^2/?)sin(x), a=?/2;
б) f(x)=v3cos(x)+x^2/?, a=?/3;
в) f(x)=4ctg(x)+3x, a=11?/6;
г) f(x)=xcos(x), a=3?;
д) f(x)=v2sin(x)-x^3/?^2, a=?/4;
е) f(x)=-3tg(x)+2x, a=7?/6.
