Упражнение 1011 ГДЗ Алимов 10-11 класс (Алгебра)
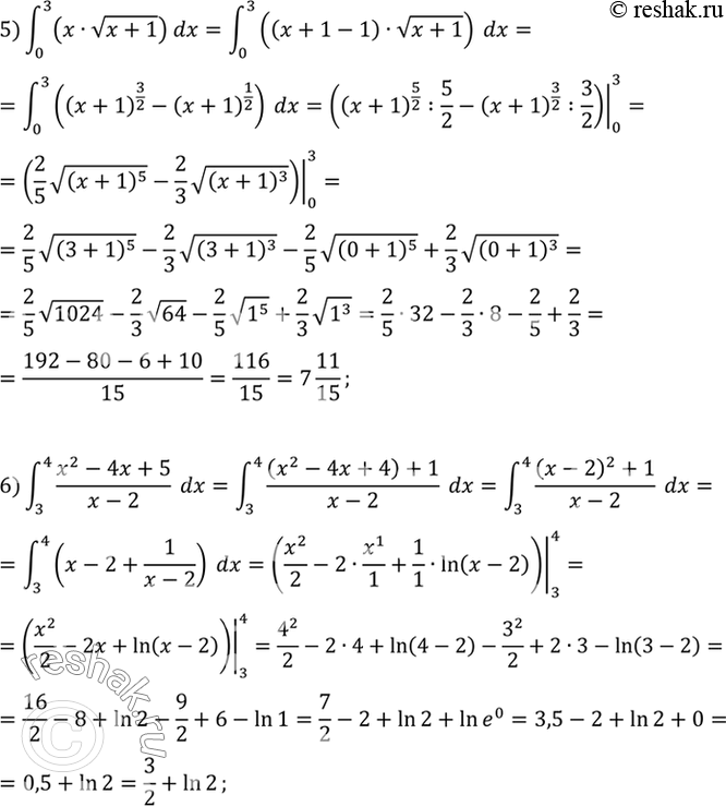
1011 1) интеграл (-пи;пи) sin2xdx; 2) интеграл (0;пи/2) sinxcosxdx; 3) интеграл (0;пи/4) (cos2x-sin2x)dx; 4) интеграл (0;пи) (sin4x+cos4x)dx; 5) интеграл (0;3) x2 корень (x+1)dx;




Ниже вариант решения задания из учебника Алимов, Колягин, Ткачёва 11 класс, Просвещение:
1011 1) интеграл (-пи;пи) sin2xdx;
2) интеграл (0;пи/2) sinxcosxdx;
3) интеграл (0;пи/4) (cos2x-sin2x)dx;
4) интеграл (0;пи) (sin4x+cos4x)dx;
5) интеграл (0;3) x2 корень (x+1)dx;
6) интеграл (3;4) (x2-4x+5))dx/(x-2).
